데이터 간의 관계를 표현하기 위한 자료구조
비선형 구조, 트리도 일종의 그래프 중 하나.
2021.10.04 - [Computer Science] - [Computer Science] 자료구조 - 트리 tree, 순회 traversal 알고리즘
그래프와 트리의 차이점 특징

- 노드 간에 연결될 수 있다는 점을 제외하고는 트리와 비슷하며, 루프를 형성할 수도 있다.
- 트리에서는 노드의 탐색에 제한이 있지만, 그래프는 루프 형성이 가능하다. (순환, 사이클)
- object간의 관계를 표현을 할 때 유용하다.(SNS, 도로 상의 차량 검색, 운송시스템)
- 그래프는 노드간의 관계, 트리는 노드간의 계층을 표현한다.
- 트리에만 있는것 : 계층 개념
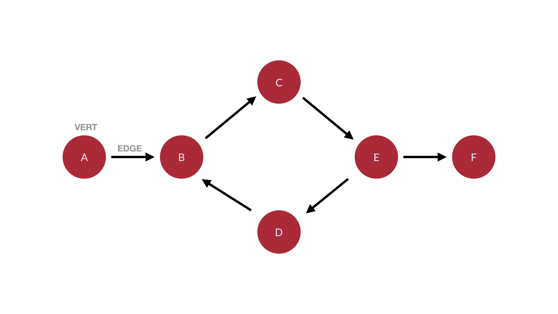
그래프 기본 구조
그래프는 vert(노드 또는 정점)와 edge(간선)으로 연결되어있다.

그래프의 유형 특성
- 방향성 그래프(directed graph)
방향성 그래프에는 순서가 있으므로 leaf node(마지막 노드, 리프)가 있다.- One-way directed graph (일방향)

- Bidirectional graph (양방향)

- One-way directed graph (일방향)
- 무방향성 그래프 (undirected graph)
- 관계의 목적이 상호 교환
- '교환'관계는 항상 상호 이고, 항상 동일한 노드에 재방문 할 수 있으므로 순환그래프(Cycle graph)이다.
- edge로 연결된 노드들끼리는 서로 인접(adjacent)해있다고 하며 이웃(neigbor)라고 한다.

무방향성은 방향(화살표)이 따로 지정되지 않는다
Cyclic and Acyclic Graphs(순환 및 비순환 그래프)
- Cyclic graph (순환그래프)
- 순환(루프)를 형성할 수 있는 경우

- Acyclic graph (비순환 그래프)
- 순환을 형성할 수 없는 경우
- 모서리를 따라 이미 방문한 노드에 다시 방문할 수 없는 경우

Directed Acyclic Graphs (DAGs; 방향성 비순환 그래프)
- 순환되지 않는 특정한 단방향 그래프
- edge가 순서대로 향하도록 DAG의 노드를 선형(단방향)으로 정렬 할 수 있다.

Weighted Graphs(가중 그래프)
- edge(간선)과 관련된 값 = 가중치
- 각 edge의 가중치에 할당된 특정값을 호출
- 가중치는 서로 다른 그래프에서 서로 다른 데이터를 나타낸다.
- 그래프에서 경로의 총 가중치가 높을수록 경로이동시간(비용)이 길어진다.
- 모든 경로 비교시 가중치에따라 어떤 경로를 선택할지 사용된다.
- 예) 도로 구간을 나타내는 그래프에서 가중치는 도로의 길이를 나타낼 수 있다.
- 모든 경로 비교시 가중치에따라 어떤 경로를 선택할지 사용된다.
-

그래프 탐색
- 순회(travesal)개념을 사용한다.
- 중요한것은 아직 방문하지 않은 노드의 순회 순서, 이 순서에 따라 순회 알고리즘이 달라짐
- 순회 알고리즘 : DFS, BFS
- 2021.10.11 - [파이썬] - [Computer Science] 자료구조 - 그래프 탐색 DFS, BFS
그래프 활용
그래프를 나타내는 방법
인전리스트와 인접행렬을 모두 구하면 vertex(정점)및 edge(간선)클래스를 포함하여 더 많은 정보를 파악 할 수 있다.

- 인접 리스트 (Adjacency List)
- 전체 노드 목록을 저장, 리스트 개념을 활
- vert(정점)dms O(1)상수시간에 각 edge(간선)에 접근 할 수 있다.
- 단점
- 특정 노드간의 연결관계를 확인하기 위해서는 반복문이 활용되어야 한다.
- 따라서 O(n)이상의 시간복잡도 요구

-
# 위 그림에 대해 딕셔너리를 사용한 인접리스트 예시 # 노드가 키가 되고, 인접노드가 값이 되는 딕셔너리이다. # 가장자리 노드들은 set으로 구현되어 있다. class Graph: def __init__(self): self.vertices = { "A": {"B"}, # 여기서 {"B"}가 set의 형태이다. "B": {"C", "D"}, # {"B" : {}}의 형태는 딕셔너리 "C": {"E"}, # 즉, 딕셔너리 안에 set이 있는 것이다. "D": {"F":3, "G": 2}, # 가중치 부여 "E": {"C": 2}, # 가중치 부여 "F": {"C"}, "G": {"A", "F"} }
- 인접 행렬 (adjacency martices)
- 구현이 쉽다.
- 행노드와 열결되는 열노드에 대해서 값이 1이 된다.
- 행렬은 2차원 배열(리스트 안에 리스트가있는)로 표현된다.
- 기본 제공되는 행렬간에 edge weights(간선 가중치)를 알 수 있다.
- 0은 관계가 없음을 나타내고, 다른값은 edge label 또는 edge weight
- 단점
- 노드값과 해당 인덱스 사이에 연관성이 없다.
- 특정 노드에 방문한 노드들을 알기 위해서는 모든 노드를 확인 해야한다 (시간복잡도 O(n))

-
# 리스트로 구현한 인접행렬 class Graph: def __init__(self): self.edges = [[0,1,0,0,0], [0,0,3,2,0], # 가중치 표현 [0,0,0,0,0], [0,0,0,0,0], [0,0,0,1,0]]
그래프 복잡도
ref.
https://coding-factory.tistory.com/610
[Algorithm] 자료구조 그래프(Graph)란 무엇인가?
그래프란? 그래프는 정점과 간선으로 이루어진 자료구조입니다. 정확히는 정점(Vertex)간의 관계를 표현하는 조직도라고 볼수도 있겠습니다. 그런면에서 트리는 그래프의 일종인 셈입니다. 다만
coding-factory.tistory.com
https://m.blog.naver.com/occidere/220923695595
[그래프] 쉽게 쓴 그래프 알고리즘 기초 (2018.03.06 수정완료)
그래프의 정의 그래프라 하면 일반적으로 '정점(노드)'과 '간선(엣지)'으로 이루어진 자료구조를 의미한다....
blog.naver.com
https://hanamon.kr/%EC%9E%90%EB%A3%8C%EA%B5%AC%EC%A1%B0-graph-%EA%B7%B8%EB%9E%98%ED%94%84/
[자료구조] Graph 그래프 - 하나몬
⚡️ Graph [그림] 자료구조 그래프 예시 컴퓨터 공학에서 이야기 하는 자료구조의 그래프는 마치 거미줄처럼 여러개의 점들이 선으로 이어져 있는 복잡한 네트워크 망과 같은 모습을 가지고 있
hanamon.kr
https://laboputer.github.io/ps/2017/09/29/graph/
[자료구조 1] 그래프(Graph) 이해하기
그래프(Graph)가 무엇이고 어디에 활용되는지 알아봅니다. 그리고 그래프와 관련된 기초 문제를 풀어봅니다.
laboputer.github.io
ref. https://itholic.github.io/python-bfs-dfs/
[python] 파이썬으로 bfs, dfs 구현해보기
BFS, DFS
itholic.github.io
https://codingcocoon.tistory.com/129
[파이썬][알고리즘] 최단 경로 알고리즘
최단 경로 알고리즘 최단 경로 문제 두 노드를 잇는 최단 경로 찾는 문제 가중치 그래프에서 가중치 합이 최소가 되는 것을 찾는 문제 문제 종류 단일 출발 및 단일 도착 문제 특정 노드 2개를 선
codingcocoon.tistory.com